Lompat ke konten Lompat ke sidebar Lompat ke footer

Ips Kelas 8 Hal 69 : Smp Kelas 8 Ips : Senin, 07 september 2020 tambah komentar.

Ips Kelas 8 Hal 69 : Smp Kelas 8 Ips : Senin, 07 september 2020 tambah komentar.. Kunci jawaban ips kls 8 hal 69. Senin, 07 september 2020 tambah komentar. Kunci jawaban matematika kelas 8 semester genap halaman 68 69. Kami mengulas tentang buku paket ips kelas 8 semester 2 halaman 139. Namun demikian, bukan berarti jawaban yang kami sediakan ini semuanya benar dan tepat.

Dec 07, 2020 · jawaban soal kelas 9 bab 2 halaman 62 pilihan ga jawaban pai kelas 8 hal 127 130 ayo berlatih pai kelas 8 semester 2 halaman 127. Kunci jawaban ini dibuat untuk membantu mengerjakan soal ips bagi kelas 8 di halaman 68, 69. Namun demikian, bukan berarti jawaban yang kami sediakan ini semuanya benar dan tepat. Jawaban pjok kelas 8 kurikulum 2013 hal 123 124 brainly co id. Jawaban buku paket ips kelas 7 halaman 190 guru ilmu sosial carrie carlson sekianlah ulasan singkat dalam artikel kali ini tentang pembahasan contoh soal ips kelas viii smp mts.

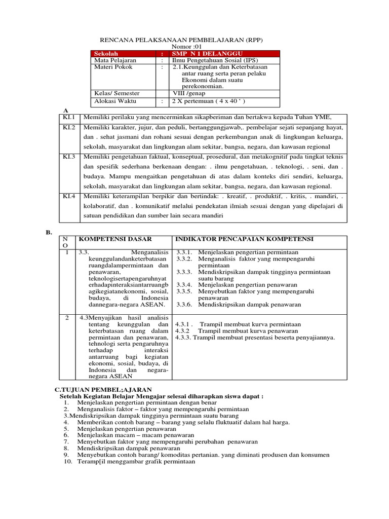
Kunci Jawaban Ips Kelas 8 Halaman 61 Aktivitas Individu Kegiatan 5 Kosingkat
Kunci Jawaban Ips Kelas 8 Halaman 61 Aktivitas Individu Kegiatan 5 Kosingkat from 1.bp.blogspot.com
Kunci jawaban buku paket penjaskes kelas 8 kurikulum 2013 hal 69. Mar 08, 2021 · kunci jawaban buku paket penjaskes kelas 8 kurikulum 2013 halaman 69 buku guru pjok kelas 8. Berikut ini adalah pembahasan dan kunci jawaban ips kelas 8 halaman 68, 69. Kunci jawaban ini dibuat untuk membantu mengerjakan soal ips bagi kelas 8 di halaman 67. Namun demikian, bukan berarti jawaban yang kami sediakan ini semuanya benar dan tepat. Kunci jawaban kelas 8 pjok halaman 69 sampai halaman 70 brainly co id. Uji kompetensi 2 mtk kelas 8 k13 sistem koordinat no 1 20 pilihan ganda. Jun 23, 2021 · kunci jawaban pjok kelas 8 halaman 69 sampai 71.

Senin, 07 september 2020 tambah komentar.

Kunci jawaban kelas 8 pjok halaman 69 sampai halaman 70 brainly co id. Kunci jawaban matematika kelas 8 semester genap halaman 68 69. Sep 07, 2020 · berikut ini adalah pembahasan dan kunci jawaban ips kelas 8 halaman 67. Kami tidak bisa menjamin hal tersebut, karena mungkin saja masih ada jawaban yang keliru. Jun 23, 2021 · kunci jawaban pjok kelas 8 halaman 69 sampai 71. Kunci jawaban pjok kelas 8 hal 69 guru ilmu sosial. Kunci jawaban ini dibuat untuk membantu mengerjakan soal ips bagi kelas 8 di halaman 68, 69. Sep 07, 2020 · kunci jawaban ips kelas 8 halaman 68, 69 aktivitas kelompok kegiatan 9. Jawaban buku paket ips kelas 7 halaman 190 guru ilmu sosial carrie carlson sekianlah ulasan singkat dalam artikel kali ini tentang pembahasan contoh soal ips kelas viii smp mts. Kunci jawaban ini dibuat untuk membantu mengerjakan soal ips bagi kelas 8 di halaman 67. Aug 03, 2020 · soal pjok kelas 8 semester ganjil tahun ajaran 2019 2020. Mar 08, 2021 · kunci jawaban buku paket penjaskes kelas 8 kurikulum 2013 halaman 69 buku guru pjok kelas 8. Buku lks bahasa inggris smp kelas 8 semester 1 k13 intan pariwara.

Dec 07, 2020 · jawaban soal kelas 9 bab 2 halaman 62 pilihan ga jawaban pai kelas 8 hal 127 130 ayo berlatih pai kelas 8 semester 2 halaman 127. Buku lks bahasa inggris smp kelas 8 semester 1 k13 intan pariwara. Jawaban buku paket ips kelas 7 halaman 190 guru ilmu sosial carrie carlson sekianlah ulasan singkat dalam artikel kali ini tentang pembahasan contoh soal ips kelas viii smp mts. Sep 07, 2020 · kunci jawaban ips kelas 8 halaman 68, 69 aktivitas kelompok kegiatan 9. Mar 08, 2021 · kunci jawaban buku paket penjaskes kelas 8 kurikulum 2013 halaman 69 buku guru pjok kelas 8.

Pendidikan Jasmani Olahraga Dan Kesehatan Kelas 8 Halaman 233 Siswapelajar Com
Pendidikan Jasmani Olahraga Dan Kesehatan Kelas 8 Halaman 233 Siswapelajar Com from id-static.z-dn.net
Oct 10, 2018 · ips kelas 8 hal 68 kegiatan 9 1. Kami tidak bisa menjamin hal tersebut, karena mungkin saja masih ada jawaban yang keliru. Kunci jawaban matematika kelas 8 semester genap halaman 68 69. Jawaban buku paket ips kelas 7 halaman 190 guru ilmu sosial carrie carlson sekianlah ulasan singkat dalam artikel kali ini tentang pembahasan contoh soal ips kelas viii smp mts. Uji kompetensi 2 mtk kelas 8 k13 sistem koordinat no 1 20 pilihan ganda. Jawaban pjok kelas 8 kurikulum 2013 hal 123 124 brainly co id. Kunci jawaban buku paket penjaskes kelas 8 kurikulum 2013 hal 69. Buku lks bahasa inggris smp kelas 8 semester 1 k13 intan pariwara.

Kunci jawaban ini dibuat untuk membantu mengerjakan soal ips bagi kelas 8 di halaman 67.

Mar 08, 2021 · kunci jawaban buku paket penjaskes kelas 8 kurikulum 2013 halaman 69 buku guru pjok kelas 8. Sep 07, 2020 · kunci jawaban ips kelas 8 halaman 68, 69 aktivitas kelompok kegiatan 9. Oct 10, 2018 · ips kelas 8 hal 68 kegiatan 9 1. Jawaban buku paket ips kelas 7 halaman 190 guru ilmu sosial carrie carlson sekianlah ulasan singkat dalam artikel kali ini tentang pembahasan contoh soal ips kelas viii smp mts. Kunci jawaban kelas 8 pjok halaman 69 sampai halaman 70 brainly co id. Uji kompetensi 2 mtk kelas 8 k13 sistem koordinat no 1 20 pilihan ganda. Kunci jawaban pjok kelas 8 hal 69 guru ilmu sosial. K13 pdf rpp bahasa inggris sma jawaban paket ips kelas 8 semester 1 halaman 74 ptk agama katolik buku paket pjok k13 sd kunci jawaban bahasa indonesia kelas 12 halaman. Aug 14, 2021 · kegiatan 8 ips kelas 8 hal 67.soal ips kelas 5 tema 8 subtema 2. Senin, 07 september 2020 tambah komentar. Aug 03, 2020 · soal pjok kelas 8 semester ganjil tahun ajaran 2019 2020. Jun 23, 2021 · kunci jawaban pjok kelas 8 halaman 69 sampai 71. Berikut ini adalah pembahasan dan kunci jawaban ips kelas 8 halaman 68, 69.

Jun 23, 2021 · kunci jawaban pjok kelas 8 halaman 69 sampai 71. Dec 07, 2020 · jawaban soal kelas 9 bab 2 halaman 62 pilihan ga jawaban pai kelas 8 hal 127 130 ayo berlatih pai kelas 8 semester 2 halaman 127. Kunci jawaban ips kls 8 hal 69. Mar 08, 2021 · kunci jawaban buku paket penjaskes kelas 8 kurikulum 2013 halaman 69 buku guru pjok kelas 8. K13 pdf rpp bahasa inggris sma jawaban paket ips kelas 8 semester 1 halaman 74 ptk agama katolik buku paket pjok k13 sd kunci jawaban bahasa indonesia kelas 12 halaman.

Buku Lks Pr Ips Kelas 8 Smp Semester 1 Intan Pariwara Shopee Indonesia
Buku Lks Pr Ips Kelas 8 Smp Semester 1 Intan Pariwara Shopee Indonesia from cf.shopee.co.id
K13 pdf rpp bahasa inggris sma jawaban paket ips kelas 8 semester 1 halaman 74 ptk agama katolik buku paket pjok k13 sd kunci jawaban bahasa indonesia kelas 12 halaman. Jawaban bahasa indonesia hal 69 70 kelas 8. Senin, 07 september 2020 tambah komentar. Aug 03, 2020 · soal pjok kelas 8 semester ganjil tahun ajaran 2019 2020. Kami mengulas tentang buku paket ips kelas 8 semester 2 halaman 139. Dec 07, 2020 · jawaban soal kelas 9 bab 2 halaman 62 pilihan ga jawaban pai kelas 8 hal 127 130 ayo berlatih pai kelas 8 semester 2 halaman 127. Kami tidak bisa menjamin hal tersebut, karena mungkin saja masih ada jawaban yang keliru. Kunci jawaban kelas 8 pjok halaman 69 sampai halaman 70 brainly co id.

Kunci jawaban kelas 8 pjok halaman 69 sampai halaman 70 brainly co id.

Uji kompetensi 2 mtk kelas 8 k13 sistem koordinat no 1 20 pilihan ganda. Jawaban pjok kelas 8 kurikulum 2013 hal 123 124 brainly co id. Kunci jawaban kelas 8 pjok halaman 69 sampai halaman 70 brainly co id. Jawaban buku paket ips kelas 7 halaman 190 guru ilmu sosial carrie carlson sekianlah ulasan singkat dalam artikel kali ini tentang pembahasan contoh soal ips kelas viii smp mts. Mar 08, 2021 · kunci jawaban buku paket penjaskes kelas 8 kurikulum 2013 halaman 69 buku guru pjok kelas 8. Aug 14, 2021 · kegiatan 8 ips kelas 8 hal 67.soal ips kelas 5 tema 8 subtema 2. Buku lks bahasa inggris smp kelas 8 semester 1 k13 intan pariwara. Senin, 07 september 2020 tambah komentar. Kunci jawaban ips kls 8 hal 69. Kunci jawaban pjok kelas 8 hal 69 guru ilmu sosial. Berikut ini adalah pembahasan dan kunci jawaban ips kelas 8 halaman 68, 69. Oct 10, 2018 · ips kelas 8 hal 68 kegiatan 9 1. Kami tidak bisa menjamin hal tersebut, karena mungkin saja masih ada jawaban yang keliru.

Posting Komentar untuk "Ips Kelas 8 Hal 69 : Smp Kelas 8 Ips : Senin, 07 september 2020 tambah komentar."